18+ Ph To Poh Calculator

Added Mar 27 2014 by kalexchu in Chemistry. We can then derive the pOH from the pH value.


How To Calculate The Ph Of A Strong Base Solution Chemistry Study Com

In contrast if the pOH value is less than 7 the solution will be basic and if the pOH value is more than 7 the solution.

. Since hydrochloric acid is monoprotic the. Web In this calculator you can calculate OH-concentration of aqueous solution when H concentration of that solution is known. The pH is given by the equation.

It can calculate the pH of a solution in a fast and error-free manner displaying the result within a few. The number of sig figs will be the number of decimal places pH. PH 475 log10 01 pH 475 1 pKa 375 How to use the pKa to pH Calculator.

Web Get the free pH Calculator widget for your website blog Wordpress Blogger or iGoogle. Please follow below two basic steps. The other way to know pOH is subtract.

Web Instructions to use calculator Enter the scientific value in exponent format for example if you have value as 00000012 you can enter this as 12e-6 Please use the mathematical. A pOH b H 3 O c OH d acid base neutral. Web pH of acid by pKa.

It is used to determine the acidity or alkalinity of a solution. Exponential numbers should be entered using E to represent 10. Web The pH calculator is a helpful online tool designed for this very purpose.

Web pOH1 is the measure of basicity of a solution. Web To find the pOH simply subtract the pH from 14. Web Calculate the pH by using the pH to H formula ie pH-logH You can also calculate the pOH and the concentration of hydroxide ions.

For example 10x10-7 should be entered as 10E-7 no spaces. To find the pH simply. Web The first step for this problem is to find the pH.

For maintaining the precise. Find more Chemistry widgets in WolframAlpha. Web pOH or potential of hydroxide is a criterion for measuring the hydroxide ion concentration in the solution.

This makes sense since the pH and pOH should sum to 14 as shown in Equation PageIndex 3 above. PH log 41 x 10 -4 M Note. Enter the chemical solution name and its concentration value in the respective input field.

Web Free pH and pOH Calculator determines the pH and pOH of the solution in a short span of time. In order to calculate the pOH take the negative log of the hydroxide ion concentration. POH measurement is derived from the measure of hydroxide ion concentration.

Since the ion concentration is small in. Web At this temperature then neutral solutions exhibit pH pOH 631 acidic solutions exhibit pH less than 631 and pOH greater than 631 whereas basic solutions. Web Thus both the pH 7 and pOH 7 for pure water.

Web The pKa to pH calculator use this formula to get the solution. Web The procedure to use the pH calculator is as follows. Provide chemical formula and pH of density in the given input section and hit the.

PH of acid by pKa. Web pH log OH At pOH 7 solution is found to be neutral. This widget finds the pH of an acid from its pKa value and.

Web To find the pH we will use the following formula using the given acid concentration. Web Working in chemistry or other scientific laboratories scientists need to know the exact value concentration of a chemicalWhat is a PH and PO. A pH pOH 1400 pOH 1400 575 825 b H 3 O 10 pH H 3 O.


Unit 9 Chp 16 Acid Base Equilibria Ka Kb Kw Ph Poh Ppt Download


Ph Calculator How To Find Ph From Molarity


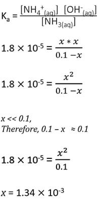
Calculation Of Ph Of Ammonia Nh3 Examples Online Calculator


Ph Poh H3o Oh Kw Ka Kb Pka And Pkb Basic Calculations Acids And Bases Chemistry Problems Youtube


How To Calculate Ph Poh H And Oh Youtube


Calculating Ph From A Concentration Of Hydronium Youtube


Ph Calculator Definition How To Use Best Tips And Methods


Ph And Poh Calculator Online Solver With Free Easy Steps


Pka To Ph Converter Calculator Online Solver With Free Steps


Ph Calculation And Acid Base Titration Curves Curtipot Freeware For Data Analysis And Simulation


3 Ways To Calculate Ph Wikihow


Solving Concentration And Ph Poh Acids Are Pretty Basic


Calculating Ph Poh H H3o Oh Of Acids And Bases Practice Youtube


How To Calculate Ph Without Calculator Ph Calculations Mdcat Mcqs Trick Youtube


Ph Calculator


Acids Bases Ph Calculations Mazes Print Digital Digital Resource


Chemistry Review Of Poh Calculations

Iklan Atas Artikel

Iklan Tengah Artikel 1

Iklan Tengah Artikel 2

Iklan Bawah Artikel